ErP 指令(EU)2019/2020 光源功能需求详细讲解—相移因数DF(相移因子)测试方法及PM310H功率计使用
ErP指令(EU)2019/2020以及能效标签指令(EU)2019/2015已经正式实施,相移因数DF(Displacement Factor,相移因子)是新增的一个要求,很多朋友不知道如何去测试DF。下面我们就相移因子DF的概念以及测试方法进行简单的介绍,希望能帮助朋友们解决DF测试的问题。
重要提示
- DF定义:相移因数(Displacement Factor)= cosφ,基波电流与基波电压相位角的余弦值
- ErP要求:根据功率不同,DF要求不同(≤5W无要求,5-10W≥0.5,10-25W>0.7,>25W≥0.9)
- 测试方法:使用功率计直接读取,或通过PF和谐波含量手动计算
- 标准依据:ErP指令(EU)2019/2020、IEC 62612-2013 Annex D
一、什么是相移因数DF(相移因子)?

上图关于相移因子DF的定义截图于(EU)2019/2020第15页。
相移因数DF(相移因子)也是cosϕ,是基波电流与基波电压的相位角的余弦值。相移因子DF是衡量LED光源电气性能的重要参数之一。
二、ErP指令对相移因子DF的要求?

上图对LED和OLED光源的相移因子DF要求截图于(EU)2019/2020第22页。
对于不同功率的光源,相移因数DF的要求是不一样的。小于等于5W的灯对DF是没有要求的;5W到10W要求相移因子DF大于等于0.5;10W到25W要求DF大于0.7;25W以上的要求相移因数DF大于等于0.9。因此,准确测试DF值对于产品合规性至关重要。
三、如何测试相移因子DF?
1) 使用可直接读取DF的电参数测量仪器
a) 使用横河的WT210
你可以通过按键进入如下界面,就可以直接读取相移因子DF了。WT210是一款常用的功率分析仪,可以测量包括DF在内的多种电参数。

b) 使用杭州翊明科技有限公司的PM310H功率计
PM310H是一款专业的数字功率计,使用大液晶屏显示,可以在一屏上显示电压、电流、功率、功率因数PF、相移因数DF(相移因子)、电压电流总谐波,电压电流波峰比等参数,读数非常方便。PM310H功率计特别适合用于LED光源的DF测试,能够快速准确地测量相移因子DF值。使用PM310H进行DF测试,操作简单,结果可靠。

2) 通过PF和谐波含量手动计算相移因子DF
如果你有可测谐波的功率计,目前又没有计划购买新的数字功率计(如PM310H);那么你就要辛苦一点,可以通过下面介绍的方法自行计算得到相移因数DF。
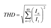
按照IEC62612-2013的Annex D介绍的公式,可以计算相移因子DF:


得到相移因数DF的计算公式:

其中λ是功率因数,一般的数字功率计(如PM310H)都可以直接得到。通过上述公式可以计算出相移因子DF值,从而判断产品是否符合ErP指令对DF的要求。
四、常见问题
1. 相移因数DF和功率因数PF有什么区别?
答:
- DF(相移因数):仅考虑基波(50/60Hz),DF = cosφ,φ是基波电流与基波电压的相位角
- PF(功率因数):考虑基波和谐波,PF = P / S = 有功功率 / 视在功率
- 关系:DF = PF × (1/√(1+THD²)),其中THD是总谐波失真
- 对于无谐波或谐波很小的负载,DF ≈ PF
2. 为什么ErP指令要求DF而不是PF?
答:ErP指令要求DF是因为:
- DF更关注基波功率因数,反映电流与电压的相位关系
- DF不受谐波影响,更能反映LED驱动器的功率因数特性
- DF要求有助于提高电网功率因数,减少无功功率
3. 不同功率的DF要求为什么不同?
答:ErP指令对不同功率的DF要求不同:
- ≤5W:无要求(小功率产品影响较小)
- 5-10W:DF≥0.5(较低要求)
- 10-25W:DF>0.7(中等要求)
- >25W:DF≥0.9(较高要求,大功率产品对电网影响大)
4. 如何选择DF测试设备?
答:选择DF测试设备需要考虑:
- 直接读取功能:最好能直接读取DF值(如PM310H、WT210)
- 谐波测量:如果无法直接读取,需要能测量谐波含量
- 精度要求:测量精度应满足ErP指令要求
- 操作便利性:界面友好,操作简单
5. DF值不满足要求怎么办?
答:如果DF值不满足ErP指令要求,需要:
- 改进驱动电路:优化LED驱动器的功率因数校正(PFC)电路
- 使用PFC芯片:采用有源或无源功率因数校正
- 调整电路参数:优化电路设计,减少相位差
- 重新测试验证:改进后需要重新测试验证
6. DF测试的测试条件是什么?
答:DF测试应在以下条件下进行:
- 额定电压±5%范围内
- 额定频率(50Hz或60Hz)
- 稳定运行状态(预热30分钟)
- 环境温度25℃±5℃
- 测试设备精度满足要求
五、术语表
| 术语 | 英文 | 定义 |
|---|---|---|
| 相移因数DF | Displacement Factor | 基波电流与基波电压相位角的余弦值,DF = cosφ |
| 功率因数PF | Power Factor | 有功功率与视在功率的比值,PF = P / S |
| 基波 | Fundamental Wave | 频率为50Hz或60Hz的基本交流电波形 |
| 谐波 | Harmonic | 频率为基波整数倍的波形分量 |
| 相位角 | Phase Angle | 电流与电压之间的相位差,符号φ |
| 总谐波失真THD | Total Harmonic Distortion | 谐波含量与基波的比值 |

