节律照明-黑视素通量、M/P比率、黑视素等效日光效率(Mel、M/P、MDER)
节律照明(Circadian Lighting,又称人因照明Human-Centric Lighting)是现代健康照明的重要分支,通过调节人体昼夜节律(circadian rhythm)来改善健康和工作效率。根据CIE S 026:2018标准《光敏视网膜神经节细胞受光响应的光辐射计量系统》,节律照明的核心参数包括黑视素通量(Melanopic Flux,简称Mel)、M/P比率(M/P Ratio,黑视素与明视比率)、黑视素等效日光效率(MDER,Melanopic Daylight Efficacy Ratio),以及380-780nm范围内以1nm为间隔的光谱能量分布。这些参数的精确测量需要使用专业的积分球光谱仪测试系统,如翊明科技SPM5000系列积分球系统,能够准确获取1nm间隔的高精度光谱数据,满足CIE S 026:2018标准和WELL Building Standard V2健康建筑标准的要求。
节律照明核心参数概述
- 标准依据:CIE S 026:2018《光敏视网膜神经节细胞受光响应的光辐射计量系统》(国际照明委员会标准)
- 关键参数:黑视素通量(Mel,单位:黑视素流明)、M/P比率(无量纲,范围0.3-1.0)、MDER(黑视素等效日光效率,无量纲)
- 测试要求:需要1nm间隔的光谱数据(380-780nm波长范围),使用积分球光谱仪系统进行精确测量
- 应用标准:WELL Building Standard V2(健康建筑标准V2版本)要求工作照明最低180-240 EML(黑视素照度)
- 测量设备:积分球配合光谱仪(如翊明科技SPM5000系列),能够测量完整光谱功率分布并计算所有节律照明参数
节律照明的三个核心参数(黑视素通量Mel、M/P比率、MDER)都可以通过1nm间隔的光谱能量分布Φe(λ)计算得出。将光谱数据输入CIE S 026 alpha-opic Toolbox计算工具,即可得到相应的节律照明参数数据。在实际应用中,翊明科技SPM5000系列积分球光谱仪系统为节律照明参数的测量提供了符合CIE S 026:2018标准的高精度光谱测试解决方案,广泛应用于健康照明产品开发、WELL建筑认证、医疗照明设计等领域。
黑视素通量(Melanopic Flux,Mel)详解
什么是黑视素通量?
黑视素通量(Melanopic Flux,简称Mel,单位:黑视素流明 melanopic lumens)表示光源发出的光对人体黑视素受体(ipRGC,intrinsically photosensitive retinal ganglion cells,内在光敏视网膜神经节细胞)产生刺激的光通量,反映了光对人体生物钟(circadian rhythm,昼夜节律)调节的潜在能力。黑视素通量是节律照明中的核心参数之一,直接影响褪黑素(melatonin)合成和睡眠-觉醒周期(sleep-wake cycle)。
生理机制:ipRGC细胞是视网膜中负责非视觉光反应的特殊神经节细胞,它们对480nm左右的蓝光最敏感,通过视黑素(melanopsin)感光蛋白接收光信号,并将信号传递到下丘脑视交叉上核(SCN),调节褪黑素分泌和昼夜节律。
黑视素通量计算方法:
根据CIE S 026:2018标准,黑视素通量(Melanopic Flux,简称:Mel,单位:黑视素流明 melanopic lumens)通过光谱功率分布加权黑视素敏感曲线Smel(λ)(ipRGC响应曲线即为黑视素敏感曲线)积分得出。计算公式如下:
Mel = Kmel × ∫ Φe(λ) × Smel(λ) dλ
其中:
- Kmel = 832 lm/W(黑视素函数前置系数,melanopic function prefactor)
- Φe(λ):光谱功率分布(单位:W/nm,spectral power distribution)
- Smel(λ):黑视素敏感曲线(ipRGC响应曲线,melanopic sensitivity curve)
- 积分范围:380-780nm,需要1nm间隔的光谱数据
实际应用:一般来说,黑视素通量越高,灯具越能实现更高的黑视素照度(EML,Equivalent Melanopic Lux),直接作用于ipRGC细胞,进而影响褪黑素的合成。使用翊明科技SPM5000系列积分球光谱仪系统可以精确测量光源的光谱功率分布(380-780nm,1nm间隔),从而准确计算黑视素通量,满足CIE S 026:2018标准和WELL Building Standard V2的要求。
M/P比率(M/P Ratio)详解
什么是M/P比率?
M/P比率(M/P Ratio,Melanopic-to-Photopic Ratio,黑视素与明视比率)表征的是光谱中含有黑视素敏感成分的多少,是黑视素通量(Melanopic Flux)与光通量(Photopic Luminous Flux,明视光通量)的比例,用于评估光对人体生理节律(circadian rhythm)和视觉功能(visual function)的综合影响。M/P比率是节律照明设计中的重要参考指标,范围通常在0.3-1.0之间,无量纲。
M/P比率的物理意义和应用场景:
- 高M/P比率(>0.7):表示相同光通量下黑视素刺激越强,能够更有效地抑制褪黑素合成,提高警觉性和注意力,适合需要警醒的场合(如办公室、学习环境、工厂车间)
- 中等M/P比率(0.5-0.7):平衡节律调节和视觉舒适度,适合一般室内照明(如商场、餐厅、会议室)
- 低M/P比率(<0.5):黑视素刺激较弱,不会过度抑制褪黑素,适合需要放松的场合(如卧室、休息区、酒店客房)
M/P比率计算方法:
根据WELL Building Standard V2(美国健康建筑标准V2版本)附录L1第79页和CIE S 026:2018标准,M/P比率的计算公式如下:

其中:
- 黑色素函数前置系数:832lm/W
- 明视觉光谱V(λ)效能最大值系数:683lm/W
- Φe(λ):待测光源光谱曲线
- V(λ):明视觉光谱曲线
- Smel(λ):黑色素敏感曲线(ipRGC响应曲线)
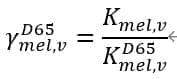
在S026标准中,有定义类似的表征量,称为α视觉流明辐射效率(ELR),对于黑色素敏感曲线来说,记为Kmel,v,其计算公式为:

在CIE S 026:2018标准中,定义了类似的表征量,称为α视觉流明辐射效率(ELR,α-opic Luminous Radiation Efficiency)。对于黑视素敏感曲线来说,记为Kmel,v,其单位为mW/lm。Kmel,v与M/P比率的关系为:

实际应用指导:M/P比率越高,同样的光通量越能有效抑制褪黑素的合成,提高警觉性和工作效率。一般需要警醒的场合(如学习、工作、工厂车间)常需要灯具具有较高的M/P比率(>0.7)。通过翊明科技SPM5000系列积分球光谱仪系统测量光谱数据(380-780nm,1nm间隔),可以准确计算M/P比率,为节律照明设计和WELL建筑认证提供科学依据。
黑视素等效日光效率(MDER)详解
什么是MDER?
黑视素等效日光效率(MDER,Melanopic Daylight Efficacy Ratio,黑视素等效日光效率)衡量照明在模拟自然日光对人体节律调节效果方面的能力,反映了光源的黑视素通量(Melanopic Flux)与具有相同照度的标准日光(D65,CIE标准照明体)的黑视素通量的比值。MDER是评估节律照明效果的关键指标,无量纲,理想值约为1.0(表示与标准日光D65具有相同的节律调节能力)。
物理意义:
- MDER = 1:表示与标准日光D65具有相同的节律调节能力
- MDER > 1:表示比D65更强的节律调节能力(更警醒)
- MDER < 1:表示比D65更弱的节律调节能力(更放松)
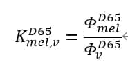
CIE选择标准日光D65作为参照光谱,按照公式

根据CIE S 026:2018标准,计算D65标准日光的黑视素视觉流明辐射效率(Kmel,v):

CIE S 026:2018标准中的表A.1给出了D65的Kmel,v计算值,为1.326mW/lm。MDER的英文全称是Melanopic Daylight(D65) Efficacy Ratio(黑视素等效日光效率),其计算式为:

其中:其分子表示待测光源抑制褪黑素的能力,分母表示标准照明体D65 抑制褪黑素的能力。
MDER与M/P之间的关系呈线性关系,如下计算公式:

MDER与M/P比率的线性关系:MDER与M/P比率之间呈线性关系,计算公式为MDER = M/P比率 / 1.326,其中1.326是标准日光D65的Kmel,v值(mW/lm)。如果MDER比值大于1,说明与标准照明体D65相比,待测光源抑制褪黑素的能力更强(更警醒),反之较弱(更放松)。
MDER可以直接与建筑照明的照度进行换算,此时对于节律照明来说常用的参数为黑色素等效日光照度(Melanopic Equivalent Daylight(D65)Illuminance,简称:MEDI,记为Emel,D65)。在建筑照明对于有特定节律要求,抑制或不抑制褪黑素要求的情况下,可以规定在标准照明体D65对照下所需要的照度。灯光设计师根据光源的抑制褪黑素与D65抑制褪黑素的能力相比较,利用黑色素等效日光效率MDER可以直接计算出为满足照明标准要求,需选用多少照度的灯具,其计算公式为:

MDER的实际应用意义:黑视素等效日光效率MDER的实际意义非常明显。在建筑照明设计中,如果要实现与自然采光相同的警醒效果,对于MDER大于1的产品(如高色温LED,MDER>1),可以用更低的照度来实现,从而节省能源;反之,对于MDER小于1的产品(如低色温LED,MDER<1),则需要更高的照度才能达到相同的节律调节效果。在实际应用中,翊明科技SPM5000系列积分球光谱仪系统能够精确测量光源的光谱特性(380-780nm,1nm间隔),为节律照明设计、WELL建筑认证和黑视素等效日光效率的计算提供符合CIE S 026:2018标准的可靠数据支持。
参考文献与标准
- [1] 康玉柱.节律照明表征参数的概念与计算[J].中国照明电器,2021,1(1)
- [2] CIE S 026/E:2018标准《光敏视网膜神经节细胞受光响应的光辐射计量系统》(System for Metrology of Optical Radiation for ipRGC-Influenced Responses to Light)
- [3] WELL Building Standard V2(健康建筑标准V2版本),International WELL Building Institute
- [4] CIE S 026 alpha-opic Toolbox计算工具,国际照明委员会(CIE)官方计算工具
节律照明应用案例
节律照明在实际应用中取得了显著效果:
- 办公室照明:使用高M/P比率(>0.7)的LED灯具,提高员工警觉性和工作效率,减少午后疲劳
- 医疗设施:在阿尔茨海默病病房使用高M/P比率照明,改善患者睡眠-觉醒周期
- 学校教室:使用动态节律照明系统,上午使用高M/P比率提高注意力,下午逐渐降低M/P比率
- 酒店客房:使用低M/P比率(<0.5)的暖白光LED,促进客人放松和睡眠
常见问题
1. 黑视素通量(Mel)、M/P比率和MDER有什么区别?如何选择?
答:这三个参数从不同角度评估节律照明效果,相互关联但含义不同:
- 黑视素通量(Mel):绝对量,表示光源发出的黑视素刺激总量(单位:黑视素流明 melanopic lumens),直接反映对ipRGC细胞的刺激强度
- M/P比率:相对量,表示黑视素通量与明视光通量的比值(无量纲,范围0.3-1.0),反映光谱中黑视素敏感成分的比例
- MDER:相对量,表示与标准日光D65的节律调节能力比值(无量纲,理想值≈1.0),反映光源模拟自然日光的能力
- 关系:MDER = M/P比率 / 1.326,三者相互关联,可以通过积分球光谱仪测量光谱数据后计算得出
- 选择建议:办公室选择高M/P比率(>0.7)和高MDER(>0.7),卧室选择低M/P比率(<0.5)和低MDER(<0.5)
2. 如何选择节律照明灯具?不同场景的参数要求是什么?
答:根据应用场景和WELL Building Standard V2标准要求选择:
- 办公室、学习环境:选择高M/P比率(>0.7)、高MDER(>0.7)、高色温(5000K-6500K)的灯具,提高警觉性和工作效率,满足WELL标准最低240 EML要求
- 卧室、休息区:选择低M/P比率(<0.5)、低MDER(<0.5)、低色温(2700K-3000K)的灯具,促进放松和睡眠,避免过度抑制褪黑素
- 医疗设施:根据治疗需求选择,可能需要动态调节M/P比率(如阿尔茨海默病治疗需要高M/P比率,抑郁症治疗需要动态调节)
- 商场、餐厅:选择中等M/P比率(0.5-0.7)、中等MDER(0.5-0.7)的灯具,平衡节律调节和视觉舒适度
- 测量方法:使用积分球光谱仪系统(如翊明科技SPM5000系列)测量光谱数据,计算M/P比率和MDER参数
3. WELL建筑标准对节律照明有什么要求?如何满足认证?
答:WELL Building Standard V2(健康建筑标准V2版本)对节律照明有明确要求:
- 工作照明要求:最低180 EML(黑视素照度,Equivalent Melanopic Lux)用于日光照射,最低240 EML用于人工照明,在工作时间内(通常为上午9点至下午5点)维持最低EML要求
- 测量方法:使用CIE S 026:2018标准计算EML,需要1nm间隔的光谱数据(380-780nm),使用积分球光谱仪系统测量
- 认证流程:提交测试报告(包含M/P比率、MDER、EML等参数),证明符合WELL标准要求
- 测试设备:使用符合CIE S 026:2018标准的积分球光谱仪系统(如翊明科技SPM5000系列)进行测量
- 动态照明:WELL标准鼓励使用动态照明系统,根据时间自动调节色温和M/P比率
4. 如何计算黑视素照度(EML)?有哪些计算方法?
答:EML(Equivalent Melanopic Lux,黑视素照度)的计算方法:
- 粗略换算:EML ≈ 0.7-0.8 × 明视照度(适用于典型白光LED,色温4000K-5000K),快速估算方法
- 精确计算(推荐):EML = 明视照度 × M/P比率,需要已知M/P比率值
- 光谱计算(最准确):需要1nm间隔的光谱数据(380-780nm),使用CIE S 026:2018标准计算,公式为EML = ∫ E(λ) × Smel(λ) dλ × Kmel,其中E(λ)为照度光谱分布
- 测量设备:使用积分球光谱仪系统(如翊明科技SPM5000系列)测量光谱数据,使用CIE S 026 alpha-opic Toolbox计算工具计算EML
- 应用场景:WELL建筑认证需要精确的EML值,建议使用光谱计算方法
5. 为什么需要1nm间隔的光谱数据?5nm或10nm间隔可以吗?
答:1nm间隔的光谱数据是CIE S 026:2018标准强制要求的,原因如下:
- 标准要求:CIE S 026:2018标准明确规定需要1nm间隔的光谱数据(380-780nm范围),这是计算节律照明参数的先决条件
- 精度要求:黑视素敏感曲线Smel(λ)在窄波长范围内(特别是480nm峰值附近)变化剧烈,需要高分辨率才能准确捕捉
- 计算误差:使用5nm或10nm间隔会导致计算误差(通常误差>5%),无法满足WELL建筑标准和产品认证的精度要求
- 设备要求:积分球光谱仪系统(如翊明科技SPM5000系列)可以提供1nm间隔的高精度光谱数据,满足CIE S 026:2018标准要求
- 实际影响:低分辨率光谱数据会导致M/P比率、MDER和EML计算不准确,影响节律照明设计效果和WELL认证
6. MDER和M/P比率有什么关系?如何换算?
答:MDER和M/P比率呈线性关系,可以相互换算:
- 换算公式:MDER = M/P比率 / 1.326,其中1.326是标准日光D65的Kmel,v值(mW/lm,来自CIE S 026:2018标准表A.1)
- 反向换算:M/P比率 = MDER × 1.326
- 典型值示例:
- 暖白光LED(2700K):M/P比率 ≈ 0.4,MDER ≈ 0.30
- 中性白光LED(4000K):M/P比率 ≈ 0.6,MDER ≈ 0.45
- 冷白光LED(5000K):M/P比率 ≈ 0.7,MDER ≈ 0.53
- 日光LED(6500K):M/P比率 ≈ 0.9,MDER ≈ 0.68
- 实际应用:如果已知M/P比率,可以直接计算MDER,无需重新测量光谱数据
7. 节律照明参数如何测量?需要什么测试设备?
答:节律照明参数(Mel、M/P比率、MDER、EML)的测量方法:
- 测试设备:积分球配合光谱仪系统(如翊明科技SPM5000系列),能够测量380-780nm范围内1nm间隔的光谱功率分布
- 测试步骤:
- 将待测光源放入积分球,稳定运行30分钟
- 使用光谱仪测量光谱功率分布Φe(λ),确保1nm间隔
- 使用CIE S 026 alpha-opic Toolbox计算工具计算Mel、M/P比率、MDER
- 结合照度数据计算EML(黑视素照度)
- 标准依据:CIE S 026:2018标准《光敏视网膜神经节细胞受光响应的光辐射计量系统》
- 测试报告:应包含光谱数据、计算参数、测试条件等信息,用于产品认证和WELL建筑标准认证
术语表
| 术语 | 英文 | 定义 |
|---|---|---|
| 黑视素通量 | Melanopic Flux (Mel) | 光源发出的光对ipRGC产生刺激的光通量(单位:黑视素流明 melanopic lumens),CIE S 026:2018标准核心参数 |
| M/P比率 | M/P Ratio (Melanopic-to-Photopic Ratio) | 黑视素通量与明视光通量的比值(无量纲,范围0.3-1.0),反映光谱中黑视素敏感成分的比例 |
| MDER | Melanopic Daylight Efficacy Ratio | 黑视素等效日光效率,与标准日光D65的节律调节能力比值(无量纲,理想值≈1.0) |
| EML | Equivalent Melanopic Lux | 黑视素照度,等效黑视素照度(单位:lux),WELL Building Standard V2要求工作照明最低240 EML |
| MEDI | Melanopic Equivalent Daylight(D65) Illuminance | 黑视素等效日光照度,记为Emel,D65,用于节律照明设计 |
| ipRGC | Intrinsically Photosensitive Retinal Ganglion Cells | 内在光敏视网膜神经节细胞,负责非视觉光反应和节律调节,对480nm蓝光最敏感 |
| 节律照明 | Circadian Lighting | 通过调节昼夜节律(circadian rhythm)影响人体健康的照明方式,又称人因照明(Human-Centric Lighting) |
| 黑视素敏感曲线 | Melanopic Sensitivity Curve Smel(λ) | ipRGC响应曲线,CIE S 026:2018标准定义,峰值在480nm左右 |
| Kmel,v | Kmel,v (α-opic Luminous Radiation Efficiency) | α视觉流明辐射效率,对于黑视素敏感曲线,标准日光D65的Kmel,v = 1.326 mW/lm |
| CIE S 026:2018 | CIE S 026:2018 | 国际照明委员会标准《光敏视网膜神经节细胞受光响应的光辐射计量系统》,节律照明参数计算依据 |
| WELL Building Standard V2 | WELL Building Standard V2 | 健康建筑标准V2版本,要求工作照明最低180-240 EML(黑视素照度) |
| 标准日光D65 | Standard Daylight D65 | CIE标准照明体D65,相关色温6500K,用作MDER计算的参考光谱 |

