闪光光源有效光强的精确测量
一、闪光光源的概要
闪光光源(Flash Light Source)是指具有脉冲发光特性的瞬时发光光源,在时域上具有瞬时性,其对人眼的短暂刺激具有特殊的视觉效果。闪光光源包括各种脉冲光源,常见应用包括:
- 交通警示灯:道路、铁路等交通设施的警示信号
- 航空障碍灯:高层建筑、塔架等航空障碍物的警示灯
- 飞机防撞灯:飞机上的防撞警示灯(Anti-collision Lights)
- 航标灯:海上、内河航道的导航信号灯
- 信号灯:各种信号指示系统(Signal Lights)
- 信号弹:应急信号设备
有效光强(Effective Intensity,单位:坎德拉 cd)是评价闪光光源光学特性的最重要参数,它表征闪光光源的视觉感知强度。由于闪光光源的发光不连续性和随机性,常规光度测量仪器无法准确测量,必须使用专用的有效光强测试仪进行测试。因此,需要对各种闪光光源(包括防撞灯和信号灯)的有效光强进行准确测量,以确保它们符合相关标准和规格要求。
视频:使用有效光强测试仪对闪光光源进行有效光强测量的演示
二、有效光强的定义
有效光强(Effective Intensity,符号:Ieff,单位:坎德拉 cd)是闪光光源光学特性的核心评价参数。
标准定义
根据《航空障碍灯》MH/T 6012-2015标准,有效光强的定义为:闪光光源(包括防撞灯和信号灯)的有效光强等同于在同等观察条件下产生同等视程的同色恒定发光灯的光强。
换句话说,有效光强是将闪光光源的瞬时发光特性转换为等效的恒定光强值,用于评估闪光光源在实际应用中的视觉感知效果和可见性。
物理意义
- 视觉等效性:有效光强表示闪光光源对人眼产生的视觉刺激等效于恒定光源的光强值
- 视程评估:有效光强直接关联到闪光光源的可见距离(视程),是评估信号灯和防撞灯安全性的关键参数
- 标准化测量:通过有效光强,可以将不同闪光特性的光源进行标准化比较和评估
有效光强是衡量闪光光源视觉感知强度的重要指标,对于防撞灯和信号灯的安全性和可见性至关重要,直接影响航空安全、交通安全等关键应用场景。
三、有效光强的计算方法
有效光强的计算方法基于人眼对光刺激的视觉响应特性。目前有4种常用的计算方法:Blondel-Rey-Douglas、Form Factor、Allard和Modified Allard。这些方法广泛应用于闪光光源、防撞灯和信号灯的有效光强评估。
参考文献:MODIFIED ALLARD METHOD FOR EFFECTIVE INTENSITY OF FLASHING LIGHTS
方法对比
| 计算方法 | 适用场景 | 特点 |
|---|---|---|
| Blondel-Rey-Douglas | 矩形脉冲、标准闪光 | 经典方法,广泛接受,计算简单 |
| Form Factor | 简单脉冲形状 | 基于形状因子,适用于规则波形 |
| Allard | 复杂脉冲、非矩形波形 | 考虑视觉感受,适用于复杂波形 |
| Modified Allard | 所有类型闪光光源 | 修正版,精度最高,与Blondel-Rey匹配 |
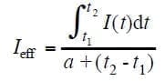
1、Blondel-Rey-Douglas方法:

公式说明:
- I(t):闪光光源的瞬时发光强度(单位:cd),随时间变化的函数
- (t2-t1):闪光持续时间(单位:s),从t1到t2的时间间隔
- α:视觉时间常数,标准值为0.2秒,表示人眼对光刺激的响应时间特性
- Ieff:有效光强(单位:cd),计算结果
- 注意:对于非矩形脉冲,确定t1和t2需满足条件 Ieff=I(t1)= I(t2),即有效光强等于边界时刻的瞬时强度
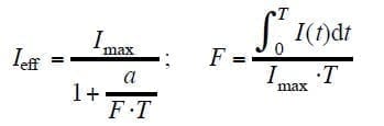
2、Form Factor方法:

公式说明:
- F:形状因子(Form Factor),无量纲参数,取决于闪光波形的形状,范围通常在0到1之间
- Imax:瞬时发光强度的最大值(单位:cd),闪光过程中的峰值光强
- Ieff:有效光强(单位:cd),计算结果
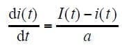
3、Allard 方法
Allard方法是计算闪光光源有效光强的重要方法之一,广泛应用于防撞灯和信号灯的有效光强测试。

公式说明:
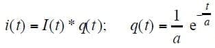
- i(t):视觉感受函数,表示人眼对闪光光源的视觉响应,无量纲
- I(t):瞬时发光强度(单位:cd),随时间变化的函数
- α:视觉时间常数,标准值为0.2秒
- q(t-τ):视觉脉冲响应函数,描述人眼对瞬时光刺激的响应特性

- 有效光强 Ieff(单位:cd):等于视觉感受函数i(t)的最大值,即 Ieff = max[i(t)]
Allard方法的特点:
- 考虑了人眼对光刺激的视觉响应特性
- 适用于复杂波形和非矩形脉冲
- 通过卷积积分计算视觉感受,更符合人眼感知
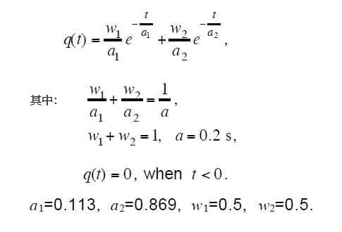
4、Modified Allard方法:
Modified Allard方法是对Allard方法的改进版本,通过修正视觉脉冲响应函数q(t),使其由两个指数函数组成,从而使得矩形脉冲的计算结果与广泛接受的Blondel-Rey方程完全匹配。
改进特点:
- 修正了视觉脉冲响应函数q(t),使用双指数函数模型
- 对于矩形脉冲,结果与Blondel-Rey方法一致,验证了方法的正确性
- 保持了Allard方法对复杂波形的适用性
- 在闪光光源、防撞灯和信号灯的有效光强测量中具有更高的准确性和可靠性
应用优势:Modified Allard方法结合了Blondel-Rey的经典性和Allard方法的灵活性,是目前最推荐的有效光强计算方法,特别适用于高精度要求的应用场景。

四、闪光光源的测量与有效光强测试仪
闪光光源(包括防撞灯和信号灯)由于其发光不连续和闪光灯发光的随机性,闪光光源光度特性的测试不能用常规的光度测量仪器来完成,需要专用的有效光强测试仪进行测试。翊明科技LUX-200F闪光光源测试分析系统是专门为闪光光源的光度测量而设计的专业有效光强测试仪,广泛应用于闪光光源、防撞灯和信号灯的有效光强测量。它采用16位高速AD抓取到闪光光源的光输出信号后,通过强大的微处理器自动分析后得到闪光光源的持续时间,闪光频率、有效光强、瞬时最大最小光强、平均光强等参数。这款有效光强测试仪支持多种有效光强计算方法,包括Allard方法和Modified Allard方法,能够准确测量各种防撞灯和信号灯的有效光强值。

图:LUX-200F有效光强测试仪,专业用于闪光光源、防撞灯和信号灯的有效光强测量
五、常见问题
1. 什么是有效光强?为什么需要测量有效光强?
答:有效光强是将闪光光源的瞬时发光特性转换为等效恒定光强的参数。由于闪光光源发光不连续,常规光度计无法准确测量,必须使用有效光强来评估其视觉感知效果和可见距离,这对于航空安全、交通安全等应用至关重要。
2. 有效光强和峰值光强有什么区别?
答:峰值光强(Imax)是闪光过程中的最大瞬时光强值,而有效光强(Ieff)考虑了闪光持续时间、波形形状和人眼视觉响应特性,更能反映实际的视觉感知效果。通常有效光强小于峰值光强。
3. 四种计算方法如何选择?
答:
- Blondel-Rey-Douglas:适用于矩形脉冲,计算简单,广泛接受
- Form Factor:适用于简单规则波形
- Allard:适用于复杂波形,考虑视觉响应
- Modified Allard:推荐方法,精度最高,适用于所有类型
4. 视觉时间常数0.2秒是什么意思?
答:0.2秒是人眼对光刺激的视觉响应时间常数,表示人眼对瞬时光刺激的感知存在延迟和积分效应。这个值基于大量视觉生理学研究,是国际标准采用的固定值。
5. LUX-200F测试仪可以测量哪些参数?
答:LUX-200F有效光强测试仪可以测量:有效光强(Ieff)、闪光持续时间、闪光频率、瞬时最大/最小光强、平均光强等参数,支持Blondel-Rey-Douglas、Allard和Modified Allard等多种计算方法。
6. 有效光强的单位是什么?典型值范围是多少?
答:有效光强的单位是坎德拉(cd)。典型值范围因应用而异:
- 航空障碍灯:通常数百到数千cd
- 交通信号灯:通常数十到数百cd
- 飞机防撞灯:通常数千到数万cd
六、术语表
| 术语 | 英文 | 定义 |
|---|---|---|
| 有效光强 | Effective Intensity | 闪光光源在同等观察条件下产生同等视程的同色恒定发光灯的光强 |
| 闪光光源 | Flash Light Source | 具有脉冲发光特性的瞬时发光光源 |
| 视觉时间常数 | Visual Time Constant | 人眼对光刺激的视觉响应时间常数,标准值为0.2秒 |
| 闪光持续时间 | Flash Duration | 闪光从开始到结束的时间间隔 |
| 形状因子 | Form Factor | 描述闪光波形形状的参数,用于Form Factor方法 |
| 视觉感受 | Visual Sensation | 人眼对闪光光源的视觉响应函数 |


